GLOXY — купить товары GLOXY в интернет-магазине...
Gloxy cut - Flli Chiesa
PPT - Soils Chapter PowerPoint Presentation, fr...
Rocky Soil with Dead Weeds Ground Texture - Pol...
Gloxy Soil 2-4 мм, 5 л – Грунт питательный, для...
Soilytix | Soilytix English
Камень GLOXY "Реликт", 20 кг - купить с доставк...
Грунт питательный Gloxy Soil для аквариумов с ж...
DROXTY Giloy Plant Price in India - Buy DROXTY ...
Грунт Gloxy Soil - YouTube
Ask Gloxi anything! by glamblocks on DeviantArt
GLOXY-PLUS Tablets Biokind Healthcare Pvt. Ltd.
Gloxy Soil - питательный грунт для аквариумов с...
Gloxinias
Blog 02.2 - Pseudogley as soil of the year - re...
Pollinating Gloxinias & Saving Seed
Gloxinia Indoor Plant Growing Guide | The Tree ...
How To Grow Gloxinia From Bulb , Care And soil ...
Soilytix | Mysoil En
Cultivating a Receptive Heart: Insights from th...
Senior Gardening: Gloxinia Photos
Gley Soils - YouTube
60+ Free Gloxinias & Nature Images - Pixabay
Wie federt die Bewirtschaftung von Böden Wetter...
Premium AI Image | rocky soil
Gloxy Photographic Equipment | Buy Gloxy Power ...
App Store 上的“gloxy - Gay Chat & Dating”
Gloxinia seeds - PF-Hotspot - PassioFlora.eu - ...
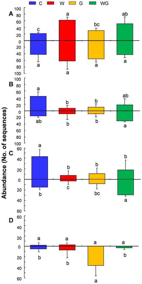
A: Glomeraceae in soil (above X-axis) and roots...
Gloxy