Level99 - Delicious Whey Protein -белок на осно...
§ 48. Белки: Свойства белков
схема гидролиза молекулы белка - Школьные Знани...
Гидролиз белков в процессе пищеварения - Справо...
Гидролизат рыбного белка
Егэ химия гидролиз
Гидролизованный белок – что это такое, смеси с ...
Alfaré® | NHS
Белки, или протеины - презентация онлайн
Рыбный белковый гидролизат сертификат соответствия
Физические и химические свойства белков Физичес...
Интернет магазин спортивного питания Мегамускул...
Белки - online presentation
Белки. Переваривание и всасывание - презентация...
Смеси композитные сухие белковые для лечебного ...
Гидролиз солей - презентация онлайн
Гидролизация белков | АО «Абиогрупп»
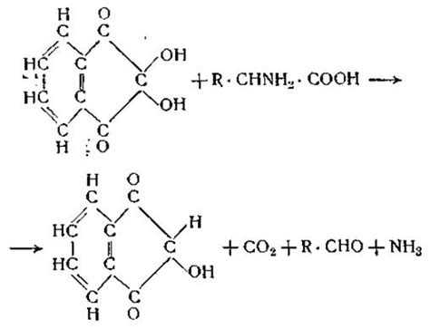
Определение скорости гидролиза - Гидролитическо...
Сухие смеси для профилактического и лечебного п...
Отличие концентрата сывороточного белка, изолят...
Белки - презентация онлайн
Лекция № 3. Строение, свойства и многообразие ф...
Гипоаллергенные смеси на основе частичного гидр...
Современные аспекты вскармливания детей. Класси...
Белки. Структура белков - презентация онлайн
Гидролиз. Сущность процесса гидролиза - презент...
Выбор молочной смеси у детей с аллергией к белк...